シミュレーションは使っているが、その理論までは中々勉強できないという方も少なくないかと思います。筆者としては、理論とシミュレーション結果がばっちりはまったときに、シミュレーションの面白さを感じます。今回のコラムでは複数液体が混ざる際の濃度均一化を題材に、理論とシミュレーションを結び付けて考えてみたいと思います。
濃度の均一化ですが、代表的には工業・食品・医薬など複数の材料を混ぜることや、身近なところではコーヒーにミルクを入れてかき混ぜることなどが当てはまります。コーヒーとミルクであればさほど重要ではありませんが、一定した品質が求められる業界では濃度の均一化が製品の良し悪しに直結します。
COLUMN
技術コラム
【粒子法】vol.46 濃度の均一化を理論とシミュレーションから探る
濃度均一化の理論
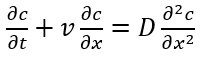
濃度の空間・時間的な拡がり方は下記の移流拡散方程式で求めることができます。
濃度の移流拡散方程式 :
より簡単な1次元に書き下すと、 :
(ただし、c:濃度[mol/m^3], v:速度[m/s], D:拡散係数[m^2/s])
上式は左から順に時間項、移流項、拡散項で構成され、ある位置における濃度の時間変化は、濃度の移流(流れによって運ばれる効果)と拡散(周辺と濃度差を無くそうとする効果)によって決まることを意味します。したがって、移流と拡散の効果が大きければ、濃度は速く均一化していきます。
次に、乱流の場合には、乱流による拡散を示す乱流拡散係数D_tが右辺に追加され、次式のように表されます。
乱流状態での濃度の移流拡散方程式 :
乱流拡散係数 :
(ただし、ν_t:乱流動粘性係数, 〖Sc〗_t:乱流シュミット数)
乱流による拡散は分子拡散と比べて大きく、〖D≪D〗_tとなるため、撹拌・混合ではより短時間で濃度を均一化させるために乱流が好まれます。しかし、高粘度の液体の場合は乱流にすることが難しいため、撹拌翼の形状を工夫することで、移流の効果を高める方法がとられます。
濃度均一化のシミュレーション
濃度均一化の理論を学んだところで、2液撹拌のシミュレーションを使って理論と照らし合わせてみましょう。解析対象は下図1の通り、タンク・バッフル・撹拌翼から成る撹拌槽です。この槽内で異なる物性の2液を撹拌・混合し、濃度均一化を目指します。



シミュレーションは移流、拡散、乱流による拡散の効果を確認するために、下表2の通り4ケース実施しました。

シミュレーション結果

ケース1は混合分率が最もゆっくりと増加しました。これは、撹拌による移流がなく、拡散の効果のみで濃度が拡がるためです。ケース2は撹拌による移流の効果が加わるため、ケース1よりも混合分率が速く増加しました。コーヒーとミルクで考えれば、放置して濃度が均一になるのを待つのではなく、スプーンで混ぜる方が早く均一になるのと同じです。次にケース3,4は乱流による拡散の効果が加わるため、ケース1,2と比べて混合分率が非常に速く増加しました。撹拌・混合における乱流の重要性が分かる結果となりました。また、乱流拡散の効果が強いケース4で最も早く混合分率が増加する結果となりました。理論で学んだ移流・拡散・乱流による拡散がシミュレーション結果に反映されているのが分かったかと思います。
おわりに
今回のコラムでは、濃度均一化を題材に、理論とシミュレーションを結び付けて考えてみました。理論が分かることで、シミュレーション結果の是非の検討、実現象との合わせこみなど様々なところで役立ちます。このコラムが理論についても目を向ける機会になれば幸いです。
[From T.Karatsu]
使用したソフトウェア(Particleworks)
・流体解析ソフトウェアParticleworks(パーティクルワークス)製品ページ
https://www.sbd.jp/products/flow/particleworks.html
第1・第3木曜日配信!
SBDメールマガジンより、
最新の技術コラムをお届けします。
Analysis Case
解析事例
Analysis Case
解析事例
解析事例
Topics
トピックス
イベント・セミナー
シミュレーションに関するイベント・セミナー情報をお届けいたします。
2026年01月26日
2026年01月06日
2025年12月17日
トレーニング
SBD製品各種の操作トレーニングを開催しております。
2022年11月02日
2022年03月04日
2022年03月04日
技術コラム
シミュレーションに関する基礎知識や、製品の技術的なノウハウが満載の技術コラムをお届けいたします。
2026年02月13日
2026年01月27日
2026年01月27日
Topics
トピックス
トピックス
イベント・セミナー
シミュレーションに関するイベント・セミナー情報をお届けいたします。
2026年01月26日
2026年01月06日
2025年12月17日
トレーニング
SBD製品各種の操作トレーニングを開催しております。
2022年11月02日
2022年03月04日
2022年03月04日
技術コラム
シミュレーションに関する基礎知識や、製品の技術的なノウハウが満載の技術コラムをお届けいたします。
2026年02月13日
2026年01月27日
2026年01月27日