ボールミルによる粉砕プロセスでは、粉砕効率を向上させるために高速回転させます。
しかし、実際にはミクロな物理挙動である粒子同士の衝突による粉砕効率は経験則でしか把握できなかったり、装置壁面やライナーに強い衝突力が繰り返し作用することで、装置の摩耗が発生したりといった課題を抱えるお客様が多くいらっしゃいます。
SBDプロダクツサービス部CASE
ボールミルによる粉砕プロセスでは、粉砕効率を向上させるために高速回転させます。
しかし、実際にはミクロな物理挙動である粒子同士の衝突による粉砕効率は経験則でしか把握できなかったり、装置壁面やライナーに強い衝突力が繰り返し作用することで、装置の摩耗が発生したりといった課題を抱えるお客様が多くいらっしゃいます。
効率的にするうえで重要な角速度はいくつなのでしょうか? プロセス内の粒子挙動の可視化 と 定量評価
回転速度が低すぎると・・・粒子は十分に持ち上がらず、粒子の衝突エネルギーが不足し、粉砕効率が悪くなってしまいます。
回転速度が高すぎると・・・
粒子は遠心力によって壁に張り付き粒子間衝突が減少し、粉砕効率が低下します。さらに装置の摩耗も起こりやすくなります。
しかし、実験では粒子分布は計測できますが装置内での粒子の衝突エネルギーは計測できず、さらに回転速度の違いによる装置の摩耗の程度も定量的に評価することが困難といった課題があります。
そこで今回は粉体シミュレーションソフトiGRAFを用いてボールミルの回転速度を変えたときの粒子挙動をシミュレーションしました。
→粉体シミュレーション(iGRAF)で検討します

今回の解析ではボールミルの回転速度の変化が粉砕プロセスや装置負荷に与える影響を解析しました。
case0
回転速度30rpm(※1分間に30回転)での粉体挙動をシミュレーションし、可視化します。
※ (rpm…Revolutions Per Minuteの略称で、1分間の回転数を表す単位)
Case1~case6
ボールミルの回転速度の違いが、「粉砕に寄与する衝突エネルギー」と、「装置に負荷を与える衝突エネルギー」に与える影響を定量的に検討します。
Case0
回転速度30rpmでの粉体挙動をシミュレーションし、可視化します。

Case0の結果です。動画はボールミルの正面からの様子です。
粉体の粒径を色分け表示しました。
また、粒子の速さ分布を色分け表示しました。
特に粉体層の表層部で粉体が高速に移動している様子が見られます。
Case1~Case6
ボールミル回転速度の違いが、「粉砕に寄与する衝突エネルギー」と、「装置に負荷を与える衝突エネルギー」に与える影響を定量的に検討します。

Case1~5までの結果です。400pmになると粒子にかかる重力よりも遠心力の方が大きくなり、粒子が壁に張り付いている様子が見られました。
粉砕に寄与すると考えられる全粒子での衝突エネルギーのケースごとの時系列データです。
粒子が壁面に張り付くまでのCase1~Case3では、徐々に全粒子の衝突エネルギーが増大していく様子が見られます。
また、安息角の影響により周期的に変動している様子も確認されました。
一方、粒子にかかる遠心力が重力よりも強くなり壁面に張り付いているCase4、Case5では、衝突エネルギーがほぼゼロになっている様子が見られます。

横軸に回転速度、縦軸に全粒子における衝突エネルギーを時間平均した値をプロットしました。
実際に回転速度が上がるにつれて衝突エネルギーの時間平均値が上昇していくことが確認できました。
特に今回のケースでは、回転数300rpmで粉砕効率のポテンシャルが最も高いことが確認できました。

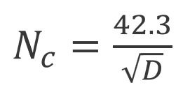
・単一粒子において、摩擦なし、滑りなしの条件下では臨界回転数は以下の式で表されます。

いかがでしたでしょうか。
粉体シミュレーションソフトiGRAFを用いることで、実際の実験に近い臨界回転速度や、実験ではわからない粒子の衝突エネルギーの可視化ができました。
これにより粉砕効率の最適化を考慮してボールミルを設計することができます。
また時折お客様から課題として上がる装置の摩耗も、壁に当たっている粒子の衝突エネルギーを考慮することで確認することができます。
今回はあまり考慮できなかった装置形状や、粒子形状、その他にも付着力や液架橋力といった粉体パラメータを考慮したシミュレーションも可能です。
iGRAFによるシミュレーションで、様々な課題発見、試験回
シミュレーションに関するイベント・セミナー情報をお届けいたします。
2025年09月30日
2025年09月29日
2025年09月13日
SBD製品各種の操作トレーニングを開催しております。
2022年11月02日
2022年03月04日
2022年03月04日
シミュレーションに関する基礎知識や、製品の技術的なノウハウが満載の技術コラムをお届けいたします。
2025年10月14日
2025年10月14日
2025年09月19日
シミュレーションに関するイベント・セミナー情報をお届けいたします。
2025年09月30日
2025年09月29日
2025年09月13日
SBD製品各種の操作トレーニングを開催しております。
2022年11月02日
2022年03月04日
2022年03月04日
シミュレーションに関する基礎知識や、製品の技術的なノウハウが満載の技術コラムをお届けいたします。
2025年10月14日
2025年10月14日
2025年09月19日